大型仓储中的呼吸阀技术研究与应用
呼吸阀作为一个独立的部件具有平衡压力容器、仓储设备内外压力的重要作用主要应用在流体油罐、化工原料罐等的容器上。近年来随着仓储
装备 (散装粉体)的快速发展,尤其是钢板仓的发展,呼吸阀的形式多样化。呼吸阀一般安装在仓储装备的库顶在进气、排气超压和不正常的
温度变化时,保护仓储装备不受过量的正压和负压的影响是仓储装备必备的一种保护装置。
呼吸阀计算方法
呼吸阀的设计是根据仓内外的压力差进行的主要影响因素为呼吸阀的通风量。仓内压力的产生和平衡主要三个因素:入料过程由于采用气力入料
方式,物料在压缩空气的带动下以流化态或沸腾态方式进入仓内落料时产生的灰尘和风积聚在仓的上部空间内形成正压;仓顶收尘器在入料过程
中参与工作其所产生的吸力作用将一部分灰尘和风带出仓外起到一定的降压作用;剩余正压风则通过设置在仓顶的呼吸阀来平衡。其通风量的大
小直接影响了仓储罐的安全性。
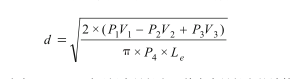
所以其计算过程为:假设入料斜槽风机的压力为P1,风量为V1;收尘器风机为P2,风量为V2;仓内空间最小的体积为V3压力为环境温度下P3设
仓顶设呼吸阀2个,呼吸阀出口压力为P4(室外温度下),呼吸阀的直径为d(内径),则呼吸阀的直径的计算公式为:
式中:Le呼吸阀当量长度。其中当量长度的计算:
式中:L呼吸阀直段的长度m;
L1弯管的当量长度。
弯管式的呼吸阀
将某一直径的钢管做局部加工后形成的主要作用为平衡仓内外压力。主要应用于储存量在10000t以上的水泥仓储装备上。根据生产入库量、气力
送料和收尘器风压之间的平衡要求采用每仓库设置两个直径为φ219mm和φ273mm钢管弯制或拼装形成。其发展周期为2008~2011年以我国的北
方地区为主。该样式结构简单,成本低廉功能单一在当时具有较大的市场应用空间。此种呼吸阀具有:结构形式单一制造工艺非常简便的优点,
但缺点:一是由于物料在入仓的过程中采用的是气料混合式不可避免地产生大量的粉尘,粉尘通过弯管式呼吸阀进入大气对外界空气造成污染;二
是对于南方的潮湿天气,弯管式呼吸阀内外相通潮湿的空气会使仓内物料板结,影响仓内物料的质量且不易出库。同时物料潮湿容易在仓顶、内壁
形成挂壁,增加了仓的承重负担存在较大的不安全因素。主要应用于粉体(如水泥、粉煤灰、金属矿粉等)散装仓储装备。
伞帽半敞开式呼吸阀
伞帽式呼吸阀由引风管和防雨罩组成。由于弯管式呼吸阀所存在的严重缺陷在南方(尤其是湖南、广东、四川、贵州等)气候潮湿且多雨型,已不
适应上述地区的应用所以开发了弯管式呼吸阀的技术升级版―伞帽式半敞开呼吸阀。该产品有效避免了物料的外冒同时也避免了雨水直接侵入仓库
中对于水泥、粉煤灰等建材企业的维护和环保效果起到非常明显的作用。其工作原理为仓内较高压力的混合气体外冒,冲击伞顶后由于反作用力使
大部分粉尘回落至仓内,另少部分粉尘被伞帽遮散由其边缘空隙处泄出。优点:减少了粉尘对外界空气的污染,避免雨水的直接侵入,在结构上较
弯管式复杂能很好保证仓内压力的平衡;缺点:平衡压力的时间较长与外界相通,不能避免潮湿空气的侵入;结构稍复杂制作成形有难度,在施工
现场加工成形度不好。此种方式从2011~2014年已在多种粉体散装物料的仓储设备上应用,尤其是南方多与地区得到广泛应用。
双层导向式呼吸阀
鉴于公司业务的不断扩展及电力行业已认识到粉煤灰的重要性同时由于经济波动的影响其储存意识日渐强烈。但是电力行业对于环保的要求比建材
行业严格,原有的伞帽式呼吸阀已不能满足环境要求所以在前两种的基础上研发了双层导向式呼吸阀。此种呼吸阀分内外两层内层由用圆钢和扁钢
支起的骨架和滤袋组成滤袋套住骨架上,外层为钢板焊接而成的外罩上开设三个通气孔,外罩顶部和侧面设有把手方便检修。工作原理为仓内较高
压力的气体通过内层和呼吸孔进入大气而粉尘被滤袋过滤落回仓内排到大气中的气体为符合排放要求的气体。优点:对外界空气几乎零污染也避免
了雨水的侵入,虽结构较复杂,但方便维修;缺点:需要定期清理滤袋。
防爆式呼吸阀(即防爆阀)
全天候防爆阻火呼吸阀
煤粉具有相对大的表面积能吸附大量空气随时都在进行着氧化。氧化放热使煤粉温度升高氧化加强。如果散热条件不良煤粉温度升高到一定程度后
即可能自燃爆炸。煤粉的爆炸性与许多因素有关主要有:
(1)挥发粉含量越高产生爆炸的可能性越大;
(2)煤粉细度越细爆炸危险性越大;
(3)气粉混合物中的氧气浓度越高,爆炸危险性越大;
(4)煤粉水分过于干燥的爆炸危险性大。
所以对于煤仓所使用的呼吸阀(也称为安全阀)在市面上的防爆阀有多种形式都是与大气直接相关联。这其中FBF型防爆阀是煤仓等物料储存设备上
最常见的一种。在河北某项目煤粉仓的设计工程中煤粉是在加工制作过程中由烟道收集起来,具有很高的易燃易爆的特性。整个输送是由氮风实现
的要求完全屏蔽空气的接触。常规的呼吸阀是靠压缩空气来实现的经常暴露的大气中,不能满足项目需要,所以结合仓顶收尘器设备的通风系统重
新设计了一种全新的防爆型呼吸阀。其较之传统的呼吸阀具有结构简单、性能合理、可靠等优点。
随着大型仓储装备所涉及物料的不断延伸,作为仓顶的呼吸阀虽为不起眼的一个小部件,但所起的安全作用不容忽视,其应用的成功与否关系着仓
储本体的安全、仓内物料质量的好坏和仓对环境污染效果的控制可靠性。实用、简单、可靠的呼吸阀不仅能满足用户设备的安全性能要求还对呼吸
阀应用的提出了越来越高的技术要求。所以只有不断推进技术的发展,适应市场需求才能赢得市场占领市场。
- 上一篇:阻火透气帽的用途,阻火透气帽的尺寸和结构图片 2017/3/9
- 下一篇:什么是爆轰?阻爆轰型阻火器的工作原理和应用 2017/3/7
