实际应用中储罐液压安全阀的液封高度计算
液压安全阀和机械呼吸阀是保证储罐安全运行的重要设备,前者可在后者失灵时工作。液压安全阀液封的高度若按正确的计算结果确定,
则既可减少轻油气的挥发损耗,又能防止储罐产生超压和负压,保证储罐的安全运行。给出了液封高度的计算公式,介绍了公式的推导过程和
计算结果应用于生产的实际效果。
一、确定液压安全阀液封高度的重要性
目前在石油储运系统中 , 在用储罐都安装两套呼吸阀来保证储罐的运行安全 , 一套为机械呼吸阀,另一套为液压安全阀。液压安全阀设
在机械呼吸阀的一侧,当机械呼吸阀失灵时,液压安全阀可立即代替其工作。液压安全阀的压力和真空调节度比机械呼吸阀大10%,当
罐内油气与空气压力达到1961.3Pa时才动作。当罐内真空度达到637.4Pa时,液压安全阀开始进入气体,所以液压安全阀可以起到安全
保护作用。
表 1 为某石化公司芳烃厂储罐安装的几种液压安全阀的有关数据。
表1几种液压安全阀的有关数据
|
储罐位号 |
规格 |
型号 |
重量(kg) |
技术条件 |
|
V — 3007 |
DN80 |
GYA — 80 |
38. 0 |
|
|
V — 3011 |
DN80 |
GYA — 80 |
38.0 |
|
|
V — 3008 |
DN100 |
GYA — 100 |
42.0 |
|
|
V — 3009 |
DN100 |
GYA — 100 |
42.0 |
1961.3pa |
|
V — 3010 |
DN80 |
GYA — 80 |
38.0 |
-637.4pa |
|
V — 3001A/B |
DN250 |
GYA — 250 |
140.2 |
|
|
FB — 3601A/B |
DN150 |
GYA — 150 |
66.0 |
|
1989年10月19日凌晨,一座12000m³的歧化进料罐(拱顶罐)发生爆裂事故。事后查明,呼吸阀内的瓦楞纸将阀片卡死,自力式氮气
调节阀泄漏氮气,导致罐内超压,储罐爆裂。该罐为国外设计,国内安装,未设液压安全阀。事故教训说明,为了保证储罐的运行安
全,必须对机械呼吸阀各部件进行定期拆检,防止锈蚀。冬季要注意阀片的防冻,保证起落灵活。对安全阀作经常性的巡检、测量液
封高度,并根据季节变化定期更换、补充液封等,是一项必须要做好的日常工作。
对于油封高度,许多厂都是依靠经验来确定。例如将油封高度定位于液压安全阀内标杆高度的1/3~2/3。但依靠经验也会产生不安全
问题,主要体现在加油量不易掌握。加的多罐内压力达到液压安全阀的控制压力时就不工作,加的少油封很快就会被吹出来,空气进
入罐内油品的质量就受到影响,油气挥发使得油品损耗加大,严重时还会使储罐超压而爆裂,或因储罐产生负压而被抽瘪。为保证储
罐的运行安全,就必须正确确定液压安全阀的液封高度。
二、液封高度的计算和计算实例
1、 液压安全阀的结构
液压安全阀的结构示意图见图 1 。
得到:
(5)
液压安全阀的盛油直径可以根据这样的关系来确定,即同体积的液体在内环空间应产生hz高的液封,在外环空间应产生hy高的液封,
也即受压时液压安全阀在内环压出的密封液的体积应等于液压安全阀在外环得到的体积:
由此得到:
(6)
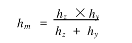
设hm为隔板浸入密封液内的深度,根据以上同样的道理可以得出:
(7)
将式(4)和式 (6)代入式(7),
可以得到:
(8)
式(8)即为确定液压安全阀隔板浸入密封液高度的计算公式。
4、计算实例
根据表1给出的数据计算液封高度。 py=1961.3Pa,pz=637.4Pa,25号变压器油的容重
γ≈0.85。将数据代入式(1)、式(2)和式(8)中,得到hm=57mm。
计算结果表明,当液压安全阀的隔板浸入油面的深度为57mm时,才能保证油罐的运行安全。
三、使用液压安全阀应注意的问题
在使用液压安全阀时应注意下列问题。
(1)在计算隔板浸入深度时,一定要将用水柱高度表示的压力和真空度换算成密封液的液柱高度hy和hz。
(2)如果液压安全阀操作不当,密封液极易吹出,如果发生这种情况,应及时补充密封液,否则,油罐和大气就会直接相通而大大增加油品
的蒸发损耗,尤其是要特别注意苯罐和二甲苯罐,防止造成环境污染。
(3)正确选择密封液,防止其被吹出。对于液压安全阀使用的润滑油,必须选用其凝点低于当地最低气温而又不易挥发的油品。
- 上一篇:新型全天候呼吸阀的类型选用及操作压力标准 2020/10/27
- 下一篇:管道干式阻火器的防爆检验试验方法说明 2018/5/22
