液压安全阀的液封高度,工作过程及使用时应注意的问题
不锈钢液压安全阀
一、确定液压安全阀液封高度的重要性
目前在石油储运系统中在用储罐都安装两套呼吸阀来保证储罐的运行安全,一套为机械呼吸阀另一套为液压安全阀。液压安全阀设在机械呼吸阀的一侧当机械呼吸阀失灵时液压安全阀可立即代替其工作。液压安全阀的压力和真空调节度比机械呼吸阀大10%当罐内油气与空气压力达到1961.3Pa时才动作。当罐内真空度达到637.4Pa时液压安全阀开始进入气体所以液压安全阀可以起到安全保护作用。
几种液压安全阀的有关数据表
|
储罐位号 |
规格 |
型号 |
重量(kg) |
技术条件 |
|
V—3007 |
DN80 |
GYA—80 |
38.0 |
1961.3Pa -637.4Pa |
|
V—3011 |
DN80 |
GYA—80 |
38.0 |
|
|
V—3008 |
DN100 |
GYA—100 |
42.0 |
|
|
V—3009 |
DN100 |
GYA—100 |
42.0 |
|
|
V—3010 |
DN80 |
GYA—80 |
38. 0 |
|
|
V—3001A/B |
DN250 |
GYA—250 |
140. 2 |
|
|
FB—3601A/B |
DN150 |
GYA—150 |
66. 0 |
1989年10月19日凌晨一座12000m3的歧化进料罐(拱顶罐)发生爆裂事故。事后查明呼吸阀内的瓦楞纸将阀片卡死,自力式氮气调节阀泄漏氮气,导致罐内超压储罐爆裂。该罐为国外设计国内安装,未设液压安全阀。事故教训说明为了保证储罐的运行安全必须对机械呼吸阀各部件进行定期拆检、防止锈蚀。冬季要注意阀片的防冻、保证起落灵活。对安全阀作经常性的巡检、测量液封高度并根据季节变化定期更换、补充液封等是一项必须要做好的日常工作。对于油封高度许多厂都是依靠经验来确定。
例如将油封高度定位于液压安全阀内标杆高度的1/3~2/3。但依靠经验也会产生不安全问题主要体现在加油量不易掌握。加的多罐内压力达到液压安全阀的控制压力时就不工作;加的少油封很快就会被吹出来,空气进入罐内油品的质量就受到影响,油气挥发使得油品损耗加大严重时还会使储罐超压而爆裂或因储罐产生负压而被抽瘪。为保证储罐的运行安全就必须正确确定液压安全阀的液封高度。
二、液封高度的计算和计算实例
1、液压安全阀的结构示意图见图。
2、液封油的选择
为保证液压安全阀在较高和较低的温度下正常工作,阀内应充入费点高、不易挥发、凝点低的液体作为液封如柴油、低粘度润滑油、甘水溶液和乙二醇等。根据液封油的特点,经反复试验选用25号变压器油作为液封油。
3、液压安全阀的工作过程
当储罐的气体空间处于平衡状态时罐内压力与周围空气压力相等,内外空间的液封保持在同一液面上见下图。
当罐内的气体空间处于压力状态时,气体由内环空间的D1-d将密封液挤入外环空间D2-D1中。当压力不断上升时液位也在不断变化。当内环空间的液位与隔板下缘相对平衡时,罐内气体将经过隔板的下缘而逸入大气见下图。
当储罐内出现负压时,外环空间的密封液将进入内环空间大气将进入罐内见下图。
隔板下缘应做成锯齿形以保证密封液稳定流动。
根据流体力学计算密封液的液柱高度:
式中hy-密封液的液柱高度;
hz-密封液的真空度;
py-液压安全阀控制的呼气压力;
pz-液压安全阀控制的吸气压力;
y-密封液的容重。
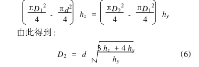
根据反复试验得知,在相同的阻力下,气体通过充满密封液的截面积应为没有液封的通路截面面积的3倍即:
液压安全阀的盛油直径可以根据这样的关系来确定即同体积的液体在内环空间应产生hz高的液封,在外环空间应产生hy高的液封,也即受压时液压安全阀在内环压出的密封液的体积应等于液压安全阀在外环得到的体积:

设hm为隔板浸入密封液内的深度根据以上同样的道理可以得出:

式(8)即为确定液压安全阀隔板浸入密封液高度的计算公式。
4、计算实例
根据表1给出的数据计算液封高度。py=1961.3Pa,pz=637.4Pa,25号变压器油的容重γ≈0.85。将数据代入式(1)、式(2)和式(8)中,得到hm=57mm。
计算结果表明当液压安全阀的隔板浸入油面的深度为57mm时才能保证油罐的运行安全。
三、在使用液压安全阀时应注意下列问题。
1、在计算隔板浸入深度时一定要将用水柱高度表示的压力和真空度换算成密封液的液柱高度hy和hz。
2、如果液压安全阀操作不当密封液极易吹出,如果发生这种情况应及时补充密封液,否则油罐和大气就会直接相通而大大增加油品的蒸发损耗,尤其是要特别注意苯罐和二甲苯罐防止造成环境污染。
3、正确选择密封液,防止其被吹出。对于液压安全阀使用的润滑油必须选用其凝点低于当地最低气温而又不易挥发的油品。
液压安全阀密封液的加添和更换都依据上述公式的计算结果进行。实践表明给出的公式能准确地确定油封高度取得了保证储罐和机械呼吸阀长期安全运行的效果也为氮封阀长期稳定运行提供了保障。- 上一篇:疏水阀的用途,选型,疏水阀的常见故障维护 2017/4/10
- 下一篇:阻火器的现行标准分析,阻火器的性能试验 2017/4/6
